أسيلة فريدال – كرافت Friedel – Crafts Acylation
أسيلة فريدال – كرافت
Friedel – Crafts Acylation
أسيلة فريدال كرافت هو تفاعل استبدال أروماتي إلكتروفيلي يستخدم فيه مجموعة
أسيلة مشتقة Acylating group
من الأحماض الكربوكسيلية Carboxylic acid
في وجود حمض لويس أو حمض
برونستد و يتكون هذا التفاعل بشكل عام من أربعة عناصر هي المركب الأروماتي Aromatic compound و عامل الأسيلة Acylating agent و العامل الحفاز Catalyst و المذيب Solvent
.
إن وجود المجموعات المانحة للإلكترونات Electron-donating
groups على الحلقة الأروماتية
تسهل التفاعل و وجود المجموعات المكتسبة للإلكترونات Electron-withdrawing
groups على المجموعة
الأروماتية تعيق التفاعل.فعلى سبيل المثال مركب النتروبنزين Nitrobenzene
يحتوي على مجموعة مكتسبة للإلكترونات تعمل على إعاقة الأسيلة و
يمكن استخدام النتروبنزين كمذيب في تفاعل أسيلة فريدال – كرافت.
ماهي أحماض لويس التي تستخدم في هذا التفاعل ؟
يستخدم العديد من أحماض لويس Lewis acid
مع عامل الأسيلة في هذا التفاعل مثل :
3AlCl - 3AlBr - 2BeCl - 2CuCl - 3FeBr - 2HgCl - 5MbCl - 3SbBr - 5SbCl - 4TiCl
الصيغة العامة لتفاعل أسيلة فريدال – كرافت:
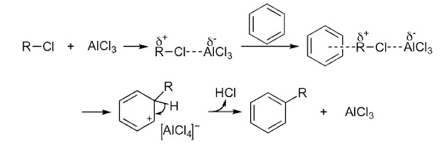
آلية تفاعل أسيلة فريدال – كرافت :
التحسينات :
نظراً لأهمية تفاعل أسيلة فريدال – كرافت في تحضير المركبات الأروماتية فإنه
يجري تطويره من خلال استخدام عوامل أسيلة acylating agents مختلفة و التحكم في ظروف التفاعل.
التطبيقات :
يستخدم في تحضير المركبات الأروماتية و مشتقاتها.




تعليقات
إرسال تعليق